Фенолкарбоновые кислоты и их эфиры, альдегиды фенолкарбоновых
кислотУчебные материалы по биологии / Оксикоричные кислоты / Фенолкарбоновые кислоты и их эфиры, альдегиды фенолкарбоновых
кислотСтраница 15
Химический состав:
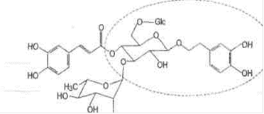
Ведущей группой БАС травы и корневищ эхинацеи пурпурной являются фенилпропаноиды, среди которых наиболее характерные компоненты - цикориевая кислота (дикофеилвинная кислота) и эхинакозид.
Среди сопутствующих фенилпропаноидов обнаружены также другие производные винной кислоты (на основе л-кумаровой и феруловой кислот), кофейная и хлорогено-вая кислоты. Интересно, что в молекуле эхинакозида легко обнаруживается фрагмент салидрозида - одного из компонентов корневищ родиолы розовой. Именно это вещество может обусловливать выявленные нами (профессор А.В. Дубищев, профессор В.А. Куркин, И.Н. Титова и др.) тонизирующие свойства для препаратов эхинацеи пурпурной.
Второй группой биологически активных соединений следует считать полисахариды (гетероксиланы, араби-ноксиланы, арабинорамногалактаны), обладающие иммуностимулирующей активностью.
К третьей группе БАС относятся алкамиды (алкила-миды) - полиеновые или полиацетиленовые соединения с изобутиламидным остатком.
Цикориевая кислота
Рис.
Эхинакозид
Сопутствующие вещества травы эхинацеи пурпурной представлены также флавоноидами ( кверцетин, кемпфе-рол и их различные гликозиды), эфирным маслом (до 0,6%), основными компонентами которого являются борнеол, борнилацетат, кариофиллен, кариофилленоксид и др.
В траве и корневищах содержатся также инулин (в корневищах до 6%), бетаин, органические кислоты, высшие ненасыщенные жирные кислоты, фитостерины, смолы, дубильные вещества, сапонины. Все растение богато ферментами, микроэлементами (селен, кобальт, серебро, молибден, цинк, марганец и др.) и макроэлементами (калий, кальций).
Стандартизация
Качество травы регламентируется ВФС 42-2371-94, корневищ с корнями - ВФС 42-58-72.
Числовые показатели травы: суммы производных гидроксикоричных кислот в пересчете на цикориевую кислоту должны быть не менее 2,1 %, влажность - не более 13 % и др.
Фармакологическое действие:
Иммуномодулятор ,обладает противовоспалителыными , противовирусными и тонизирующими свойствами .
Применение:
Учеными НПО «ВИЛАР» (В.А. Стихин)трава эхинацеи пурпурной предложена в качестве лекарственного растительного сырья для получения препарата «Эстифан», представляющего собой таблетки на основе сухого экстракта (0,2 г) травы данного растения. Данный препарат рекомендован для применения в медицинской практике в качестве иммуностимулирующего средства для профилактики и лечения заболеваний, связанных с состояниями иммунодефицита. Эстифан особенно эффективен в Случае воспалительных заболеваний органов дыхания. Установлено, что эстифан стимулирует активность клеточного и гуморального звена иммунной системы, повышает фагоцитарную активность нейтрофилов и макрофагов, индуцирует трансформацию В-лимфоцитов в плазматические клетки, усиливает антителообразование, кооперацию В- и Т-лимфоцитов, Т-хелперную активность. Разработан также препарат «Эхинацея» (сок). В России производят также настойку «Эхинацея-галенофарм» (Санкт-Петербург), настойка эхинацеи («Красногорсклексредства»).
В Самарском государственном медицинском университете создан ряд препаратов, среди которых настойка эхинацеи пурпурной, сироп эхинацеи , эхинатон .
Смотрите также
Биоэлектрические явления
Введение
Электричество
у рыб человек обнаружил еще в глубокой древности. Например, древние греки
остерегались встречаться в воде с рыбой, которая, как писал Аристотель,
"заставл ...
Анатомия сельскохозяйственных животных
...
Физиология промежуточного мозга. Психофизиология речи и мыслительной деятельности
Введение
Организм
находится в непрерывном взаимодействии с окружающей его внешней средой. Это
взаимодействие очень многогранно; оно обусловлено, с одной стороны, степенью сложности
о ...
