Фенолкарбоновые кислоты и их эфиры, альдегиды фенолкарбоновых
кислотУчебные материалы по биологии / Оксикоричные кислоты / Фенолкарбоновые кислоты и их эфиры, альдегиды фенолкарбоновых
кислотСтраница 12
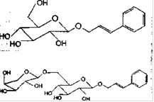
Розин
Розавин
Розарин
Метилотозид
Рис.
(-)- Ларицирезол
Родиозин
Гербацетин
Рис.
В корневищах содержится эфирное масло (около 0,05%), хотя имеются литературные данные о более высоком уровне его содержания (до 5%). В сырье обнаружены также стериныф-ситостерин, даукостерин), органические кислоты (щавелевая, янтарная, лимонная, яблочная кислоты), сахароза, липиды, различные микро- и макроэлементы (родиола розовая является типичным манганофиллом).
Особый интерес представляет биомасса родиолы розовой, содержащая в качестве БАС фенилпропаноиды, среди которых доминирующим является триандрин (глюкозид л-кумарового спирта). Сопутствующие фенилпропаноиды представлены также метоксикоричным спиртом и его глюкозидом (вималин), л-кумаровой, кофейной кислотами и их глюкозидами. К сложным фенилпропаноидам (лигнанам) относится ларицирезинол и его 4-О-глюкозид.
Стандартизация:
Качество сырья регламентируется ГФ CCCPXI издания. Раздел «Качественные реакции» предусматривает определение методом ТСХ розавина и салидрозида. При этом на хроматограмме должно обнаруживаться доминирующее пятно фиолетового цвета с R, около 0,4 (розавин), а после проявления раствором диазобензолсульфокислоты - оранжевое пятно салидрозида (примерно на уровне пятна розавина). В Изменении № 1 к ФС 75 предусмотрено использование ГСО розавина (ФС 42-0071-01), предложенного нами для целей стандартизации сырья и препаратов родиолы розовой.
Числовые показатели: салидрозида должно быть не менее 0,8%, розавина - не менее 1,0% (Изменение № 1), влажность не более 13% и др.
Раздел «Количественное определение» включает в себя спектрофотометрический метод определения салидрозида путем измерения оптической плотности окрашенного комплекса (диазореактив) при длине волны 486 нм. Изменение № 1 не только предусматривает анализ сырья посал идрозиду, но и включает в себя хроматоспектрофотометри-ческий метод и метод ВЭЖХ определения розавина.
Фармакологическое действие:
Стимулирующее ЦНС, тонизирующее средство, обладающее также адаптогенными, гипогликемическими, иммуномодулирующими, антитоксическими, бактерицидными, вяжущими свойствами. Тонизирующие свойства обусловлены фенилпропаноидами и простыми фенолами, а иммуномодулирующий эффект - фенилпропаноидами. Бактерицидные, вяжущие и противовоспалительные свойства определяются, в основном, наличием дубильных веществ.
Применение:
Препараты «Экстракт родиолы жидкий», «Родас-кон», «Настойка родиолы розовой» (ВФС 42-3434-99), порошок (таблетки по 0,1 г) применяют в качестве общеукрепляющих, тонизирующих лекарственных средств, повышающихфизическую иумственную работоспособность. Препараты золотого корня показаны при астенических состояниях, повышенной утомляемости, при неврастенических состояниях, вегетативно-сосудистой дистонии. За счет выраженных адаптогенных свойств препараты целесообразно применять в качестве противодиабетических и антистрессорных средств. Препараты можно назначать ослабленным больным, перенесшим соматические или инфекционные заболевания, а также больным с функциональными заболеваниями нервной системы. Установлено, что экстракт и настойка золотого корня показаны в качестве иммуномодулирующих средств при иммунодефицитных состояниях, для профилактики различных заболеваний, в том числе вирусной инфекции, особенно в условиях дезадаптации. Кроме того, препараты могут применяться практически здоровыми людьми при астении и пониженной работоспособности.
Смотрите также
Основные вопросы естествознания
...
Производство гипотез в естествознании. Наука эпохи Возрождения. Гипотезы происхождения человека
...
Ткани и их функции в растительных организмах
Предисловие
Структурная и функциональная целостность высших растений
достигается благодаря многочисленным многоуровневым приспособлениям, среди
которых дифференциация единого тела на ...
